不銹鋼電磁屏蔽織物的屏蔽效能
無錫不銹鋼板廠家無錫漢能不銹鋼2019年11月26日訊 對于人體防護電磁輻射而言,穿戴具有防輻射功能的織物較為便利,研究及開發具有電磁屏蔽性能的環保型織物逐漸得到了人們的青睞。有研究表明:對于一般設備(頻率在30~3 000 MHz)屏蔽效能在10~20 dB的材料即可達到屏蔽要求。
在眾多屏蔽材料中,金屬纖維或金屬化纖維有較高的導電性和導磁性,且能與常規纖維采用混紡、交織、并線、包芯、包纏的方法,制得防輻射織物。相比一般屏蔽材料,不銹鋼織物則屏蔽效能更加持久,且多次洗滌屏蔽效能不減。有關不銹鋼抗磁性紡織材料,國內外均有研究,其中從紗線出發探究其結構對織物屏蔽效能的影響頗多,但是結論不盡相同。
K.B.Cheng等探究了不銹鋼紗線的結構、織物的不同規格對織物屏蔽效能的影響,發現不銹鋼絲與短纖紗織物的屏蔽效能高于不銹鋼短纖和銅絲混紡織物,紗支不同,屏蔽效能也有所差異。肖倩倩等認為不銹鋼包芯紗織物的屏蔽效能高于不銹鋼混紡紗織物;鈔杉等認為相同不銹鋼含量、相同間距情況下,不銹鋼混紡紗織物的屏蔽性能高于不銹鋼包芯紗織物,并驗證了此結論與不銹鋼紗線模型所得結論一致。本文為了探究紗線的不同結構、同種紗線雙層織物、不同紗線雙層織物及不同排列角度雙層織物的屏蔽性能,采用不同的紡紗方法,設計出3種紗線并制成織物,采用法蘭同軸法測試其屏蔽效能。
1 實 驗
1.1 原 料
全聚混紡紗所用原料為滌綸/不銹鋼短纖粗紗條(江蘇省紡織技術研究所),混紡比為80/20,其中不銹鋼短纖的規格為直徑8 μm,長度40 mm。賽絡包芯紗和賽絡菲爾包纏紗所用原料為316 L型不銹鋼長絲(上海普盛金銀絲紡織品有限公司),規格為直徑30 μm,最大拉伸強力800 N/mm2,相對電導率0.023,電導率1.12e6 s/m,滌綸粗紗定量3.4 g/10 m。
1.2 設 備
QFA1528型全聚紡細紗機、QFA1528型細紗機(無錫第七紡織企業有限公司),烏斯特茲HL400型毛羽測試儀(瑞士烏斯特技術有限公司),YG068C全自動單紗強力儀(蘇州長風紡織機電科技有限公司),Agilent E5061A型矢量網絡分析儀(美國安捷倫科技有限公司)。
1.3 紗線的紡制
在QFA1528型全聚紡細紗機上紡制T/S 80/20混紡紗。全聚紡是緊密紡的一種,它是在普通三羅拉牽伸皮圈的基礎上,將前羅拉設計成直徑為50 mm表面帶窄槽的空心羅拉。全聚紡成紗毛羽少,生產穩定,并且對原料有很好的適應性。在改造的QFA1528型細紗機上紡制賽絡包芯紗和賽絡菲爾紗。細紗機的改造:在QFA1528型全聚紡細紗機的基礎上加裝單槽導絲輪裝置,長絲退繞裝置和張立盤裝置,單槽導絲輪裝置可在搖架上左右移動,以便控制長絲喂入前羅拉的位置,并通過工藝優化選出最佳包芯效果的紗。賽絡包芯紗和賽絡菲爾紗的紡紗原理如圖1、圖2所示。紡紗工藝配置如表1所示。

1-不銹鋼長絲;2-導絲輥;3-導絲輪;4-滌綸粗紗;5-后羅拉;6-中羅拉;
7-前羅拉;8-吸風插件;9-阻捻膠輥;10-氣流導向裝置;11-前膠輥
圖1 賽絡包芯紗紡制原理
Fig.1 Spinning process of Siro-spinning core-spun yarn

1-手動搖架;2-導絲輪;3-長絲張立盤;4-粗紗;5-前羅拉
圖2 賽絡菲爾紗紡制原理
Fig.2 Spinning process of the sirofil core-spun yarn
表1 紡紗工藝
Tab.1 Spinning parameters
![]()
1.4 不銹鋼纖維織物的制備
實驗所用的織物由全自動劍桿小樣織機織造,經緯紗分別采用自制紗線,采用統一的織機工藝參數,統一織制平紋織物。分別采用YG141D織物厚度儀、SZT-2A四探針電阻測試儀測量織物厚度及織物表面電阻??椢锏幕緟等绫?所示,為了便于描述給三塊織物分別命名為1#織物、2#織物、3#織物。
表2 織物基本參數
Tab.2 Basic parameters of fabrics

1.5 紗線及織物性能測試方法
1.5.1 紗線性能測試
溫度為20 ℃,相對濕度為(65±2)%。
紗線毛羽測試:采用烏斯特茲HL400型毛羽測試儀,測試紗線毛羽,設置測試紗線長度為1 000 m,并分別記錄100 m紗線的1、2、3、4、6、8 mm毛羽數。
紗線強力測試:參照《紡紗實驗教程》紗線強力測試方法,采用YG 068C全自動單紗強力儀測試紗線強力。測試時選用上下夾頭夾持距離50 cm,預加張力0.5 cN/tex,下降速度50 cm/min,每種紗線測試40次,取平均值。
1.5.2 織物性能測試
溫度為23 ℃,相對濕度為50%~70%。
屏蔽性能測試:采用法蘭同軸法,Agilent E5061A型矢量網絡分析儀、頻譜分析儀、TS0210A1型網絡衰減器測試織物的屏蔽性能。為了提高測試的準確性、減少誤差,采用多次實驗并取平均值。本實驗采用每塊樣布取5個不同位置的試樣(避開布邊),分別測試5次,取平均值。測試時將試樣放置于同軸小室的法蘭之間,之后和矢量網絡分析儀連接,如圖3所示。參考ASTM D 4935—2010《測量平面材料的電磁屏蔽效應的試驗方法》及QJ 2809—1996《平面材料屏蔽效能的測試方法》。

圖3 法蘭同軸示意
Fig.3 The coaxial diagram of flange
織物電阻率測試:采用SZT-2A四探針電阻測試儀,儀器預熱30 min,然后將4 cm×4 cm的織物放置于四探針平臺上,探針間距為1 mm,保證探針所有針尖與織物良好接觸,并調節SB118的電流輸出量程為1 mA。
2 結果與分析
2.1 紗線性能分析
三種不銹鋼纖維紗的基本性能測試結果如表3所示。由表3可以看出,對于不同結構的紗線,不銹鋼混紡紗毛羽最多,長絲包芯紗次之,包纏紗毛羽最少。毛羽形成的原因之一:在加捻三角區中,由于纖維的幾何位置和紡紗張力的不同,導致一根纖維從外到內、再從內到外發生多次轉移,當纖維頭端被擠出后,由于沒有張力和向心壓力的作用,纖維就停留在紗的表面形成毛羽。在混紡紗中不銹鋼和滌綸均以短纖維的形式存在,纖維之間摩擦加劇,內外轉移次數增多,毛羽增多。包纏紗中不銹鋼長絲包裹在滌綸纖維的外部,對滌綸纖維在紗表面形成的毛羽起到包纏貼服作用,因此,包纏紗毛羽最少。而包芯紗中,只有滌綸短纖裸露在紗線表面,不銹鋼以長絲的形式存在于紗芯,在一定程度上,紗芯的存在對滌綸纖維的加捻三角區有一定破壞,使毛羽增加。
表3 紗線基本性能
Tab.3 Basics properties of yarn

由表3還可知,包纏紗強力最高,斷裂伸長最大,這是因為不銹鋼絲以螺旋的形式包纏在滌綸纖維表面,其強力利用系數達到最大;對于包芯紗,不銹鋼長絲的加入會破壞纖維之間的抱合力,使紗線強力降低。對比包芯紗和混紡紗強力,可以看出包芯紗的強力高于混紡紗,這主要與纖維的形態和成紗方式有關。不銹鋼長絲連續性好,剛性大,承擔拉力大,而不銹鋼短纖和滌綸短纖抱和力差,強力相對較低。包芯紗和混紡紗的斷裂伸長率相差不大。由拉伸理論分析可知,在拉伸時紗條中心的長絲纖維首先被拉斷,接著剩下的長絲繼續斷裂,此時滌綸纖維仍處于抽拔滑移過程,并未達到最大斷裂伸長,因此包芯紗中的不銹鋼長絲對紗體的斷裂伸長影響不大,又因為紗線特數和捻度相同,故斷裂伸長相差不大。
2.2 織物屏蔽性能分析
2.2.1 紗線種類對屏蔽效能的影響
不同紗線結構織物的電磁屏蔽效能,如圖4所示。

圖4 不同紗線結構織物的電磁屏蔽效能
Fig.4 Electromagnetic shielding effectiveness of fabrics
with different yarn structures
由圖4可知,頻率在0~1 500 MHz時,包芯紗和包纏紗織物電磁屏蔽效能的峰值往往在20 dB以上,而混紡紗織物的電磁效能峰值卻難以達到20 dB,限制了混紡紗織物的使用范圍。在混紡紗中不銹鋼短纖和滌綸纖維充分混合,此時不銹鋼以非連續的方式存在于紗體中,電阻值高,且質量不勻率大,導致不銹鋼短纖分布不均勻,使紗線沿軸向缺乏有效的電連接。因此,包芯紗織物的屏蔽性能高于包纏紗織物。當把織物看成含有網孔的屏蔽體時,孔隙則影響織物的屏蔽性能。織物形成的孔或縫相當于一個矩形波導管,波導的截止頻率主要與孔隙的線徑大小有關,線徑越大,波導的截止頻率越低,當電磁波頻率達到截止頻率時,則無屏蔽性能。包纏紗中長絲纏繞在滌綸纖維的外側,所形成的孔或縫相比包芯紗更大一些,所以包纏紗織物的屏蔽性能更弱。
2.2.2 雙層織物的排列角對屏蔽效能的影響
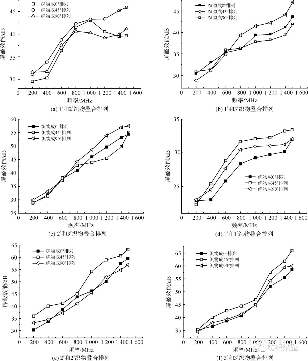
為了探究雙層織物的排列角對織物屏蔽性能的影響,采用1#和2#織物、1#和3#織物、2#和3#織物、1#和1#織物、2#和2#織物、3#和3#織物兩兩疊合,分別測試在0°、45°、90°排列角度下的屏蔽性能,如圖5所示。
由圖5可以看出,當兩塊織物成45°排列時,織物的屏蔽性能最好。一方面是因為45°交叉排列織物中,經緯紗縱橫交錯,形成的網格孔隙最??;另一方面,在測試時,電場和磁場在樣品圓形平面沿半徑方向均勻分布,而45°排列的織物在4個方向上均有不銹鋼紗線,導致入射到織物上的電磁波垂直分量增加,電磁屏蔽效能增強。當織物成0°、90°排列時,屏蔽效能相差不大,這是因為垂直(平行)交叉的織物可以屏蔽掉互相垂直的電場和磁場。
采用Matlab雙因素方差分析方法對上述織物的電磁屏蔽性能進行分析。在0~1 500 MHz頻段對織物兩兩交叉排列的排列方式和紗線結構進行雙因子方差分析。分析時,在0~1 500 MHz內取200、400、800、1 000、1 200、1 400 MHz的織物屏蔽效能平均值。返回值P大于a時,假設成立,因子之間無顯著差異,設定a為0.05。0~1 500 MHz雙因子方差分析結果見表4。
表4 雙因子方差分析
Tab.4 Two-factor analysis of variance

由表4可以看出,0~1 500 MHz雙因子方差分析所得P值分別為0.055 9、0,P1大于0.05,P2小于0.01,說明列因素有差異、行因素有顯著差異。即在0~1 500 MHz內紗線的結構對織物屏蔽性能的影響較為顯著,排列角對其影響較小。
3 結 論
對不同結構的紗線和不同排列方式的電磁屏蔽織物進行細微分析,多角度出發找出影響屏蔽性能的因素,探究各因素與屏蔽效能的相關性。
1)通過不同的紡紗方法,得到賽絡包芯紗、賽絡菲爾包纏紗和全聚混紡紗三種紗線。在相同紡紗工藝條件下,不銹鋼混紡紗毛羽最多強力最低,長絲包芯紗次之,包纏紗毛羽最少強力最高。
2)當織物中不銹鋼含量、經緯密、緊度等參數相同時,包芯紗織物屏蔽效能最好。這是因為包芯紗織物形成的孔隙相對較小。由孔隙導磁可知,孔隙越小,屏蔽性能越好;又因為包芯紗中不銹鋼是連續的,導致其電阻值相對較低。

圖5 不同排列方式的織物電磁屏蔽效能
Fig.5 Electromagnetic shielding effectiveness of yearns with different arrangement
3)織物中不銹鋼紗線的排列方式對其電磁屏蔽效能影響規律較為明顯。當兩塊織物成45°交叉排列時,織物在4個方向上均含有不銹鋼紗線,形成的網格最密。此時電磁波垂直分量增加,織物對電磁波的反射量增加,屏蔽效能增強。